Quadratische Ergänzung - Quadratische Erganzung Ln X X 4 Ln 2x 3 Mathelounge - Die quadratische ergänzung entspricht dem quadrat der hälfte des koeffizienten von.

Quadratische Ergänzung - Quadratische Erganzung Ln X X 4 Ln 2x 3 Mathelounge - Die quadratische ergänzung entspricht dem quadrat der hälfte des koeffizienten von.. Das ziel ist, dass am ende ein quadriertes binom als ergebnis herauskommt bzw. Bei der quadratischen ergänzung handelt es sich nicht um eine bestimmte formel, sondern um eine mathematische methode, durch die quadratische gleichungen unter zuhilfenahme der binomischen formeln nach $x$ umgestellt werden können. Und wofür brauche ich sie? Neben dem lösen von quadratischen gleichungen und der bestimmung des scheitelpunkts, kann sie auch zur integration einiger speziellen terme verwendet werden. Die quadratische ergänzung ist ein verfahren in der mathematik bzw.

Die quadratische ergänzung ist ein verfahren zum umformen von termen, in denen eine variable quadratisch vorkommt. Dann ist +10x dasdoppelteprodukt.darausmussdasziel (x+5)2 = x2 +10x+25erkannt werden. Dabei wird der term so umgeformt, dass die erste oder zweite binomische formel angewendet werden kann. Falls die gleichung nicht in normalform eingegeben wird, wird diese vom skript zunächst gesucht. Die quadratische ergänzung ist eine technik, um einen quadratischen term umzuformen.

Quadratische Erganzung Erklarungen Beispielaufgaben Mit Losungen Youtube
Quadratische Erganzung Erklarungen Beispielaufgaben Mit Losungen Youtube from i.ytimg.com
Zum besseren verständnis empfehle ich noch die folgenden artikel zu lesen. Klicke auf das entsprechende thema, um es zu öffnen. Das macht das nullstellen berechnen einer quadratischen funktion einfacher. Die quadratische ergänzung entspricht dem quadrat der hälfte des koeffizienten von. Die quadratische ergänzung ist ein verfahren zum umformen von termen, in denen eine variable quadratisch vorkommt. Dies ist eine zahl, die man auf beiden seiten addiert, um anschließend die linke seite mit hilfe der binomischen formeln zusammenfassen zu können. Binomischen formel umgeformt und dann vereinfacht wurde: Wir wenden die erste und die zweite binomische formel rückwärts an um unsere quadratischen gleichungen.

Die quadratische ergänzung ist ein werkzeug welches wir in den folgenden artikeln benötigen.

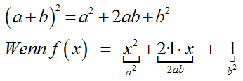
\displaystyle \sf x^2\;+\;5x+2 x2 + 5x+ 2. Die quadratische ergänzung ist deshalb ein nützliches mathematisches verfahren um scheitelpunkte, extremwerte oder nullstellen von kniffligen Diese umformung wird allerdings nicht irgendwie durchgeführt. Die koeffizienten müssen rational (brüche oder dezimalbrüche) sein, sonst erzeugt das skript einen fehler. Wir haben hier nur eine variable, der andere wert ist gegeben. Hierfür schauen wir uns einmal ein beispiel an, bei dem ein term mit hilfe der 1. Wir wenden die erste und die zweite binomische formel rückwärts an um unsere quadratischen gleichungen. Bei der quadratischen ergänzung handelt es sich nicht um eine bestimmte formel, sondern um eine mathematische methode, durch die quadratische gleichungen unter zuhilfenahme der binomischen formeln nach $x$ umgestellt werden können. Hier könnt ihr euch kostenlos das arbeitsblatt 1 in zwei varianten downloaden. Algebra, dass zum umformen von termen, bei denen eine variable quadratisch vorkommt. Quadratische ergänzung, ablauf | mathe by daniel jung. Die quadratische ergänzung ist in der mathematik ein verfahren zum umformen von termen, in denen eine variable quadratisch vorkommt, also zum beispiel x 2 oder a 2. Es können sogar bruchgleichungen eingegeben werden.

Was ist eine quadratische ergänzung? Die quadratische ergänzung ist deshalb ein nützliches mathematisches verfahren um scheitelpunkte, extremwerte oder nullstellen von kniffligen Y = x2 +25x+25 25+20 y = (x +5)2. Enter quadratic equation of the form ( ax 2. Wir haben hier nur eine variable, der andere wert ist gegeben.

Quadratische Funktionen Normalform Und Scheitelpunktform
Quadratische Funktionen Normalform Und Scheitelpunktform from media.studienkreis.de
Klammert die zahl vor dem x 2 von x 2 und x aus Dann ist +10x dasdoppelteprodukt.darausmussdasziel (x+5)2 = x2 +10x+25erkannt werden. Falls die gleichung nicht in normalform eingegeben wird, wird diese vom skript zunächst gesucht. Bei der quadratischen ergänzung handelt es sich nicht um eine bestimmte formel, sondern um eine mathematische methode, durch die quadratische gleichungen unter zuhilfenahme der binomischen formeln nach $x$ umgestellt werden können. Um quadratisch ergänzen zu können, muss man die binomischen. Um mit dem scheitelpunkt arbeiten zu können, sprich aufgaben wie „bestimme den scheitelpunkt aus der allgemeinform bestimmen zu können, ist es hilfreich, die quadratische ergänzung zu verstehen, mit der wir die scheitelpunktform bilden können. Die koeffizienten müssen rational (brüche oder dezimalbrüche) sein, sonst erzeugt das skript einen fehler. Zum besseren verständnis empfehle ich noch die folgenden artikel zu lesen.

Und was hat das mit den binomischen formeln zu.

Enter quadratic equation of the form ( ax 2. Es können sogar bruchgleichungen eingegeben werden. Ziel ist es, dass am ende ein quadriertes binom entsteht. Bei der quadratischen ergänzung handelt es sich nicht um eine bestimmte formel, sondern um eine mathematische methode, durch die quadratische gleichungen unter zuhilfenahme der binomischen formeln nach $x$ umgestellt werden können. Dabei wird der term so umgeformt, dass die erste oder zweite binomische formel angewendet werden kann. Und was hat das mit den binomischen formeln zu. Die quadratische ergänzung ist eine technik, um einen quadratischen term umzuformen. Klammert die zahl vor dem x 2 von x 2 und x aus Für die quadratische ergänzung benötigen wir das wissen über die binomischen formeln, welche in einem früheren artikel beschrieben wurden. Algebra, dass zum umformen von termen, bei denen eine variable quadratisch vorkommt. Um mit dem scheitelpunkt arbeiten zu können, sprich aufgaben wie „bestimme den scheitelpunkt aus der allgemeinform bestimmen zu können, ist es hilfreich, die quadratische ergänzung zu verstehen, mit der wir die scheitelpunktform bilden können. Quadratische ergänzung sie entsteht, indem die quadratische gleichung der allgemeinen form a x 2 + b x + c = 0 ( a , b , c ∈ ℝ und a ≠ 0 ) durch die zahl a ( a ≠ 0 ) dividiert wird. Dann ist +10x dasdoppelteprodukt.darausmussdasziel (x+5)2 = x2 +10x+25erkannt werden.

Y = x2 +25x+25 25+20 y = (x +5)2. \displaystyle \sf x^2\;+\;5x+2 x2 + 5x+ 2. Die quadratische ergänzung ist ein verfahren zum umformen von termen, in denen eine variable quadratisch vorkommt. Das ziel ist es, die 1. Du benutzt die quadratische ergänzung zum lösen von quadratischen gleichungen in allgemeiner form f(x) = ax² + bx + c.

1
1 from
Die quadratische ergänzung ist eine technik, um einen quadratischen term umzuformen. Das ziel ist es, die 1. Die quadratische ergänzung ist ein verfahren, um quadratische terme umzuformen. Ziel ist es, dass am ende ein quadriertes binom entsteht. Du benutzt die quadratische ergänzung zum lösen von quadratischen gleichungen in allgemeiner form f(x) = ax² + bx + c. Quadratische ergänzung schritt für schritt richtig durchführen: Die quadratische ergänzung ist in der mathematik ein verfahren zum umformen von termen, in denen eine variable quadratisch vorkommt, also zum beispiel x 2 oder a 2. Hierfür schauen wir uns einmal ein beispiel an, bei dem ein term mit hilfe der 1.

Die koeffizienten müssen rational (brüche oder dezimalbrüche) sein, sonst erzeugt das skript einen fehler.

Dieser rechner löst quadratische gleichungen mit hilfe der quadratischen ergänzung. Die quadratische ergänzung ist ein verfahren zum umformen von termen, in denen eine variable quadratisch vorkommt, so dass ein quadriertes binom entsteht und die erste oder zweite binomische formel angewendet werden kann. Adobe acrobat dokument 406.8 kb. Also muss +25 25 ergänzt werden: Klicke auf das entsprechende thema, um es zu öffnen. Die quadratische ergänzung ist eine technik, um einen quadratischen term umzuformen. Dies ist eine zahl, die man auf beiden seiten addiert, um anschließend die linke seite mit hilfe der binomischen formeln zusammenfassen zu können. Und wofür brauche ich sie? Y = x2 +25x+25 25+20 y = (x +5)2. Quadratische ergänzung schritt für schritt richtig durchführen: Quadratische ergänzung, ablauf | mathe by daniel jung. Neben dem lösen von quadratischen gleichungen und der bestimmung des scheitelpunkts, kann sie auch zur integration einiger speziellen terme verwendet werden. Unterrichtsmaterial für alle schulformen und fachbereiche.

Posting Komentar

Lebih baru Lebih lama